产品中心

二氯(五甲基环戊二烯基)合铑(III)二聚体
中文产品名称: 二氯(五甲基环戊二烯基)合铑(III)二聚体
英文产品名称: Dichloro(pentamethylcyclopentadienyl)rhodium(III) dimer
CasNo.: 12354-85-7
分子式:

C20H30Cl4Rh2 10*

纯度: 98%
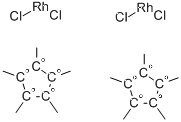
结构式: 二氯(五甲基环戊二烯基)合铑(III)二聚体


关注我们

  • 手机版

联系我们

地址:杭州市滨江区浦沿街道南环路3730号源越科技大楼6层B室
联系人:郝同川
手机:15903897686
电话:0571-85071279

拜凯(杭州)生物技术有限公司 版权所有(C)2019 网络支持 中国化工网 全球化工网 生意宝 著作权声明 浙ICP备15020886号-1